- 00000018WIA306B3870GYZ
- id_400239681.6
- Jul 24, 2022 3:47:44 PM
Daily Automated Quality Assurance
Quality control is an important part of the daily start up procedure. Performing a DAQA test allows you to make sure that your system is operating before you begin patient scanning.
A DAQA test requires the use of a phantom to simulate the weight of a particular body part. The spherical TLT phantom can be used to perform DAQA scans with the Body and Head coils. The TLT phantom provides useful information about the quality of your DAQA scans.

| Screen area | Description |
|---|---|
| Select Coil | The currently connected RF coil is displayed in the Selected Coil field. If there is more than one coil configuration for the connected coil, select the desired coil configuration from the menu.
|
| Select Scan Plane | The options are Axial, Sagittal and Coronal. Only Axial is available when Ghosting and Geometric Accuracy is selected. |
| Ghosting Level and Geometric Accuracy | Selecting this option puts the tool into the system test mode. In this mode, SNR, ghosting, and geometry tests are performed and summarized. This test is run using the head TLT sphere and one of the following coils:
|
| Start |
|
| Abort | Stops data acquisition/post-processing before completion. When selected, the system may take up to 30 seconds to complete the abort process. |
| Exit | Closes the screen. |
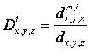
Geometric accuracy calculation
For geometric accuracy, it is assumed that the 17 cm round sphere is used in DAQA measurements. Measurements are performed on axial, coronal, and sagittal images to calculate the relative diameter of the phantom along the phase and frequency directions. The ratio is given by

where i is the frequency or phase direction, dx, y, z = 17 cm (the known diameter along x, y, or z direction of the head TLT sphere phantom), is the measured diameter along the measured encoding direction.
The application reports the following three parameters for this test:

Ghosting level
The images used for characterizing the ghosting level in DAQA measurements are the same as those used in the geometric accuracy measurement.
- The ghost (G) is the average value of the signal reported in a square 25 pixel ROI (5×5 pixels) in the region beyond the phantom area in the phase-encoding direction.
- The signal (S) is the average value of the signal reported within the phantom in a square 25 pixel ROI (5×5 pixels).
- The noise (N) is the average value of the signal reported in a square 25 pixel ROI (5×5 pixels) in frequency encoding direction outside the phantom.
If the SNR (S/N) is greater than or equal to 100, the reported value is G/S. However, if S/N is less than 100, the reported value is (G-N)/S.
