• Object ID: 00000018WIA30C72870GYZ
  • Topic ID: id_40023952 Version: 1.9
  • Date: Jul 26, 2022 1:21:57 PM

Calculate maximum gradient output

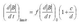
Let d be the total duration of the gradient ramp (minimum to maximum) or the period of a sinusoidal waveform divided by π. Let f be a fraction (0.8 for Normal Mode or 1 for First Mode). Let c be the chronaxie time in microseconds. Let d|B|/dt_0 be the rheobase (rb, infinite ramp duration) value of the time varying gradient magnetic field. Gradient output may be expressed by the following equation;

Maximum gradient output on a cylinder of 0.2 m radius may be found from equation and table below. f is the fraction of the mean stimulation threshold, rb is the infinite ramp duration mean PNS threshold, c is the rheobase value (ramp duration where the mean threshold is 2*rb), and d is the gradient ramp duration.

Table 1. Rheobase and chronaxie constants for SIGNATM Voyager gradient coils
Typerb (T/s)C (μs)
VRMW20360